
撰文 | 宋文法
吸烟是全球心血管疾病和死亡的主要可预防因素,每年导致超过800万人死亡。早期研究显示,吸烟会增加多种癌症、呼吸系统、心脑血管系统等多个系统疾病风险。然而,尚不清楚吸烟的量与健康结果之间的具体关系,尤其是少量抽烟。
2025年11月18日,约翰·霍普金斯大学在" PLOS Medicine "期刊上发表了一篇题为" Association between cigarette smoking status,intensity,and cessation duration with long-term incidence of nine cardiovascular and mortality outcomes:The Cross-Cohort Collaboration (CCC) "的研究论文。
研究显示,即使少抽点也会显著增加心血管疾病和死亡风险,每天仅吸2-5支烟,心血管疾病风险增加50%,全因死亡风险增加60%,而戒烟可以立即显著降低风险。结果强调应尽早戒烟,而不是减少吸烟量。

图:论文截图
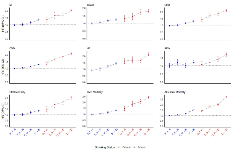
在这项研究中,研究人员分析了22个前瞻性队列,共纳入超32万人,进行了长达20年的研究,分析了吸烟状态、吸烟量、戒烟与心血管疾病发病率和全因死亡率之间的关联。
对吸烟状态分析发现,与不吸烟相比,当前吸烟的男性、女性心血管疾病风险分别增加74%、107%,全因死亡风险分别增加117%和143%。
对吸烟量分析发现,少抽也会显著增加风险,与不吸烟相比,每天吸2-5支烟的人,心血管疾病风险增加50%,全因死亡风险增加60%。每日吸11-15支烟的人,心血管疾病风险增加87%,全因死亡风险增加130%。

图:论文截图
剂量分析显示,吸烟量与风险呈非线性关系,风险在20包年和20支烟/天时,增加最为显著,之后增速放缓,但没有安全阈值。
对戒烟分析显示,戒烟后风险立即显著下降,前10年风险下降最为显著。戒烟20年后,戒烟者的心血管风险比当前吸烟者低80%以上。
研究指出,任何程度的吸烟都存在风险,少抽不能替代完全戒烟,戒烟是唯一被证实能显著降低心血管和死亡风险的行为,越早戒烟,获益越大。
参考文献:
https://doi.org/10.1371/journal.pmed.1004561
